產品概述:
產品參數
外觀:可溶于 DMF 或 DMSO 的橘色固體
Ex/Em (MeOH) = 493/516 nm
CAS 號:70363-83-6
分子式:C27H40N4O6
分子量:516.6
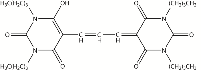
分子結構圖:
儲存條件
-20℃避光保存,有效期見外包裝。
產品介紹
DiBAC4(3) 是一種慢響應膜電位探針,它進入到去極化的細胞,和細胞內的蛋白或膜結合,發出很強的熒光。細胞去極化導致染料內流,熒光增強;相反,細胞超極化則熒光減弱。
注意事項
1. 熒光染料均存在淬滅問題,請盡量注意避光, 以減緩熒光淬滅。
2. 為了您的安全和健康,請穿實驗服并戴一次性手套操作。
使用本產品的文獻:
參考文獻
1.Assessment of E. coli and Salmonella viability and starvation by confocal laser microscopy and flow cytometry using rhodamine 123, DiBAC4(3), propidium iodide, and CTC.
應用方向:測定大腸桿菌和沙門氏菌饑餓時的膜去極化
2.Usefulness and limitation of DiBAC4(3), a voltage-sensitive fluorescent dye, for the measurement of membrane potentials regulated by recombinant large conductance Ca2+-activated K+ channels in HEK293 cells.
應用方向:檢測10微米Evans藍(BK通道開放劑)引起的膜超極化
3.The calcium response to the excitotoxin kainate is amplified by subseqUEnt reduction of extracellular sodium.
應用方向:研究小腦顆粒細胞膜電位的變化
4.Cytochrome P-450 metabolites but not NO, PGI2, and H2O2 contribute to ACh-induced hyperpolarization of pressurized canine coronary microvessels.
應用方向:研究冠狀微血管超極化
5.Effect of u.v. light irradiation, starvation and heat on Escherichia coli beta-D-galactosidase activity and other potential viability parameters.
應用方向:研究大腸桿菌細胞膜電位
6.Bending the primary cilium opens Ca2+-sensitive intermediate-conductance K+ channels in MDCK cells.
應用方向:測定MDCK細胞膜電位差的變化






微信服務號